Ответы
Ответ дал:
0
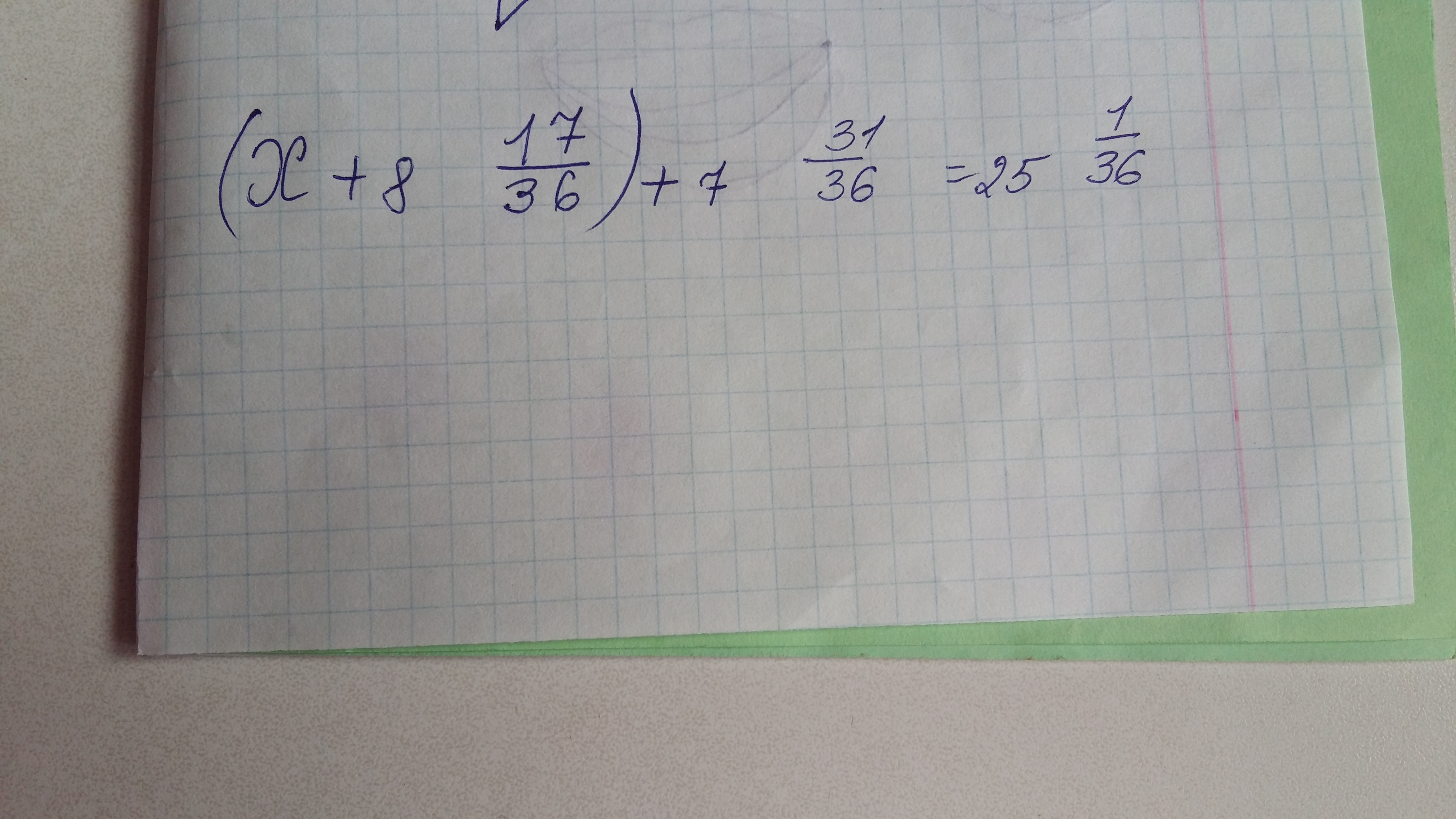
(х+2*17/9)+527/36=25/36
(х+34/9)+527/36=25/36
х+34/9+527/36=25/36
х+663/36=25/36
х=25/36+663/36
х=(25-663)/36
х=-(638/36)=-17*26/36
Все знаки "/" читаются как дробь
(х+34/9)+527/36=25/36
х+34/9+527/36=25/36
х+663/36=25/36
х=25/36+663/36
х=(25-663)/36
х=-(638/36)=-17*26/36
Все знаки "/" читаются как дробь
Вас заинтересует
3 года назад
7 лет назад
7 лет назад
10 лет назад
10 лет назад