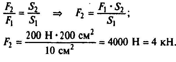
1) Площадь меньшего поршня гидравлического пресса 10 см2. На него действует сила 200 Н. Площадь большего поршня 200 см2. Какая сила действует на больший поршень?
2)Поршень гидравлического пресса площадью 180 см2 действует силой 18 кН. Площадь малого поршня 4 см2. С какой силой действует меньший поршень на масло в прессе?
3)Малый поршень гидравлического пресса площадью 2 см2 под действием силы опустился на 16 см. Площадь большого поршня 8 см2. Определите: а) вес груза, поднятого поршнем, если на малый поршень действовала сила 200 Н; б) на какую высоту поднят груз.
Ответы
Ответ дал:
0
1 задача
на фото
2 задача
Малый поршень гидравлического пресса площадью S1=2см квадратных под действием силы опустился на h1=16см. Площадь большого поршня S2=8смквадратных. Определите: а) вес груза, поднятого поршнем, если на малый поршень действовала сила F1=200 Н, б) на какую высоту поднят груз. (напишите решение подробно) h2- ?
для гидравлической машшины F1/S1=F2/S2
F2=F1*S2/S1=200*16/2=1600 Н F2=P=1600 Н - вес груза
по золотому правилу механики А1=А2
F1*h1=F2*h2
h2=F1*h1/F2=200*16/1600=2 cм - ответ
на фото
2 задача
Малый поршень гидравлического пресса площадью S1=2см квадратных под действием силы опустился на h1=16см. Площадь большого поршня S2=8смквадратных. Определите: а) вес груза, поднятого поршнем, если на малый поршень действовала сила F1=200 Н, б) на какую высоту поднят груз. (напишите решение подробно) h2- ?
для гидравлической машшины F1/S1=F2/S2
F2=F1*S2/S1=200*16/2=1600 Н F2=P=1600 Н - вес груза
по золотому правилу механики А1=А2
F1*h1=F2*h2
h2=F1*h1/F2=200*16/1600=2 cм - ответ
Приложения:
Вас заинтересует
2 года назад
2 года назад
7 лет назад
7 лет назад
10 лет назад
10 лет назад