• Предмет: Математика
  • Автор: platovala
  • Вопрос задан 9 лет назад

Помогитя! 8,6x-6,9x+0,49=1

Ответы

Ответ дал: Гpaнт
0
8,6x-6,9x+0,49=1\
1,7x+0,49=1\
1,7x=1-0,49\
1,7x=0,51\
x=0,51:1,7\
x=0,3
Ответ дал: СтепанУмн
0
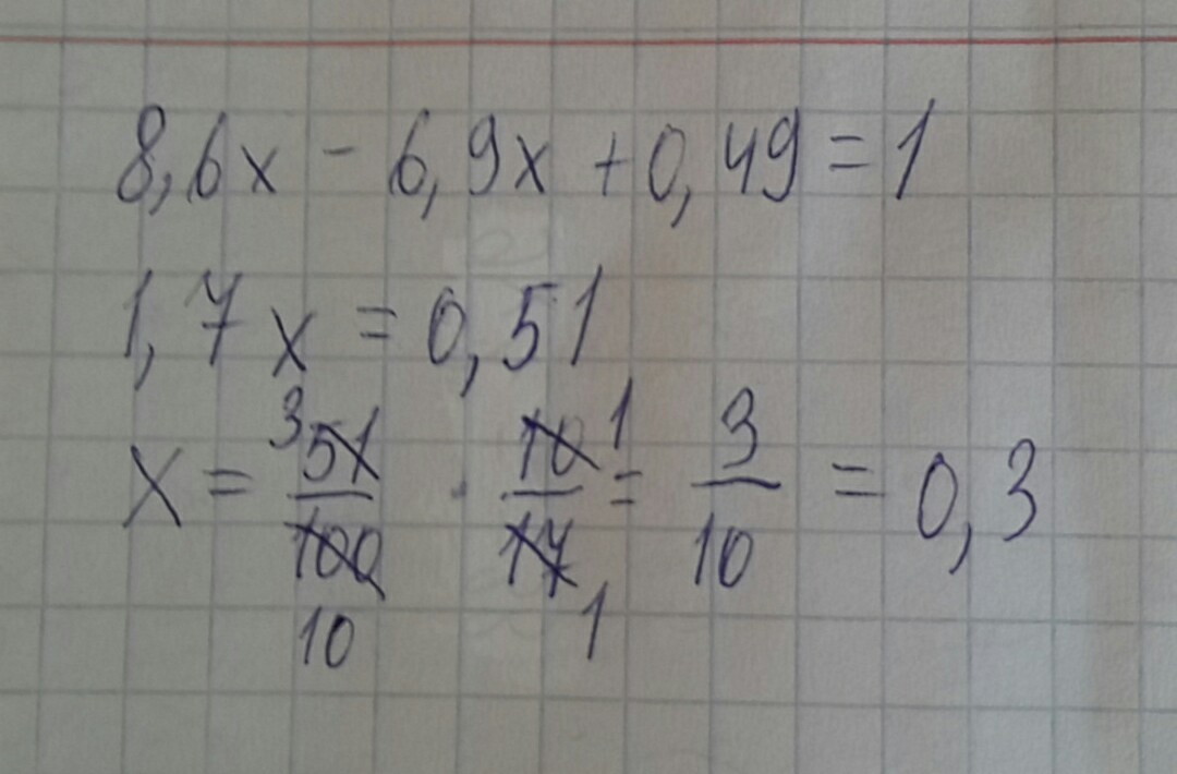
Решение находится в фотографии
Приложения:
Вас заинтересует