• Предмет: Алгебра
  • Автор: KOROLEVA121232
  • Вопрос задан 9 лет назад

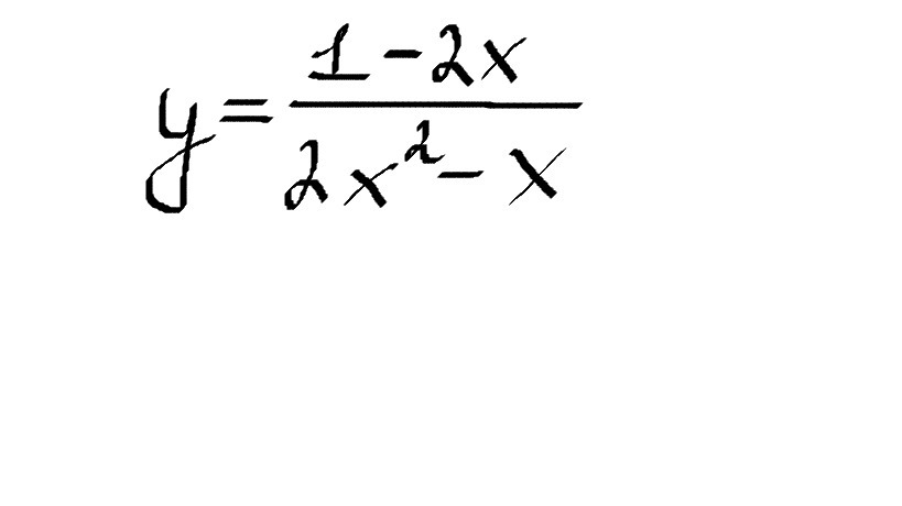
построить график функции.

Приложения:

Ответа на этот вопрос пока нет. Попробуйте найти его через форму поиска.

Вас заинтересует