• Предмет: Математика
  • Автор: Тяпа3
  • Вопрос задан 9 лет назад

ПОМОГИТЕ!!!СРОЧНО
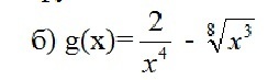
Найдите производную функции

Приложения:

Ответа на этот вопрос пока нет. Попробуйте найти его через форму поиска.

Вас заинтересует