• Предмет: Математика
  • Автор: sasa26597
  • Вопрос задан 9 лет назад

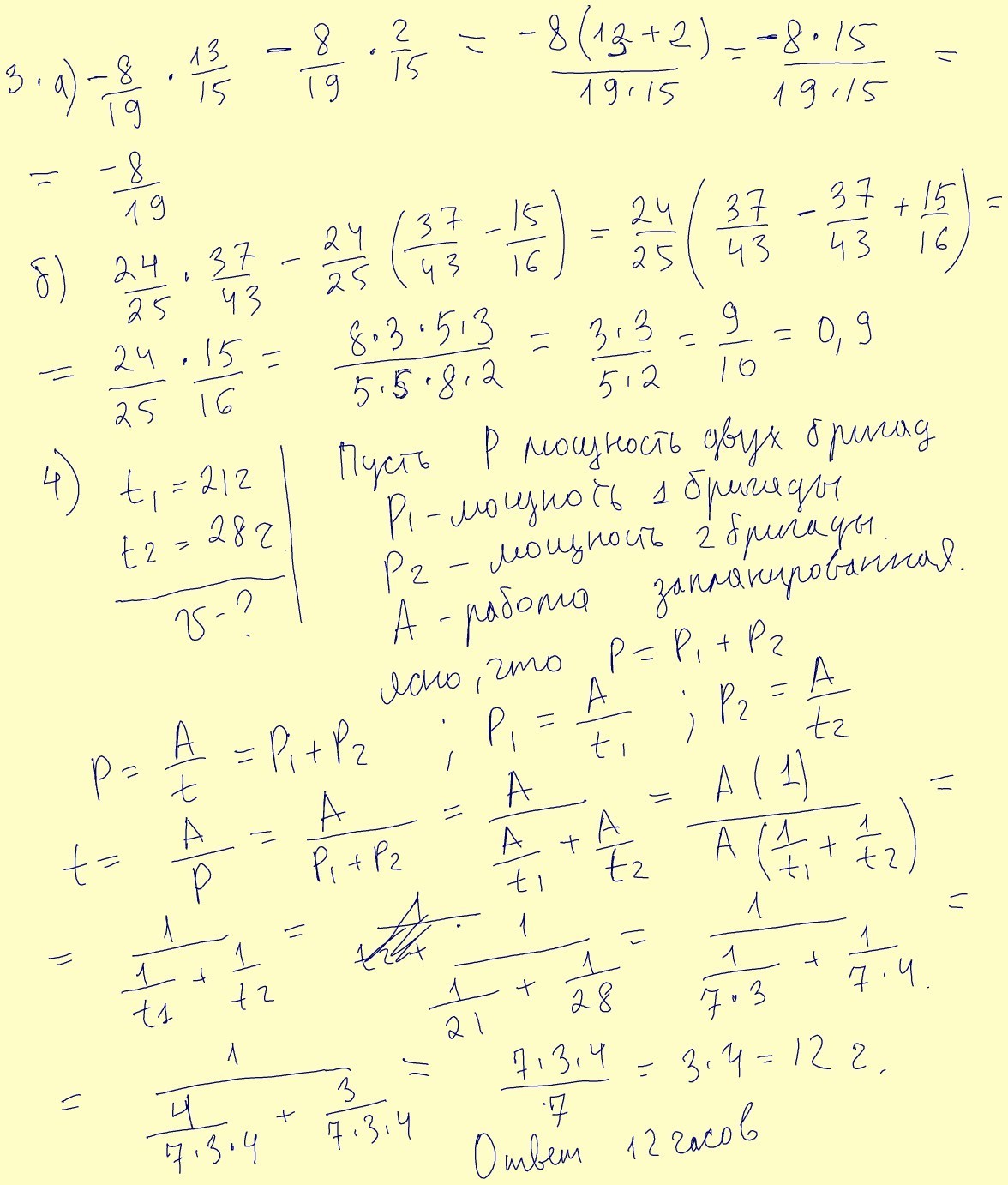
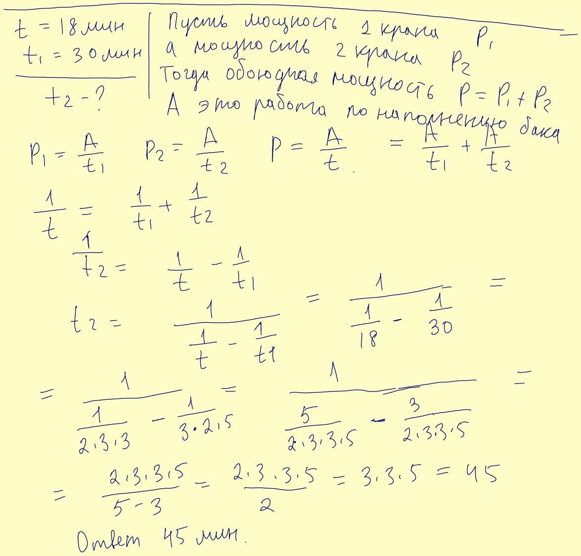
Пожалуйста помогите решить 3, 4 и 5 новера.
Даю 40 балов!!!

Приложения:

Ответы

Ответ дал: almaznak
0
3532523532532532523532532532
Приложения:
Вас заинтересует