• Предмет: Математика
  • Автор: milanazhegalik
  • Вопрос задан 9 лет назад

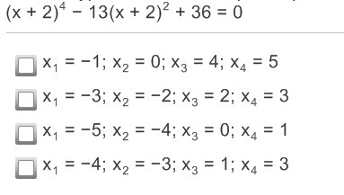
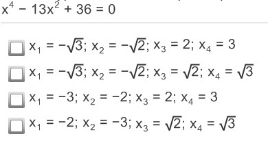
выберете правильный ответ
СРОЧНО ПОЖАЛУЙСТА!!

Приложения:

Ответа на этот вопрос пока нет. Попробуйте найти его через форму поиска.

Вас заинтересует