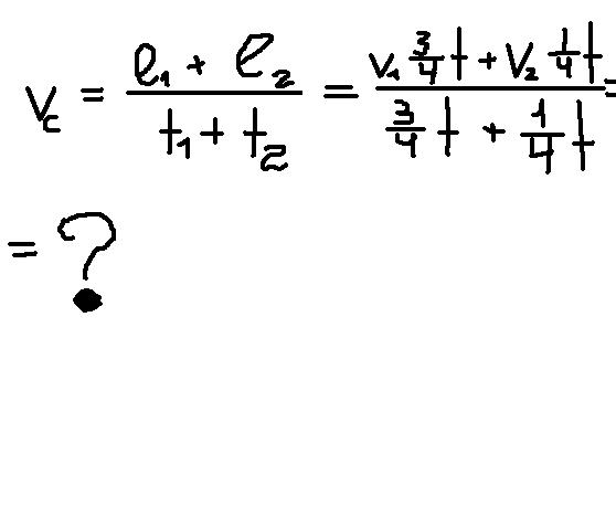
На перевал туристическая группа поднималась со скоростью 2 км / ч, а спускалась с другой стороны горы со скоростью 4 км / час. Какой была средняя скорость группы на всем пути, если на подъем было потрачено ¾ всего времени?как дальше сокращать?
Приложения:
Ответа на этот вопрос пока нет. Попробуйте найти его через форму поиска.
Вас заинтересует
3 года назад
3 года назад
8 лет назад
8 лет назад
11 лет назад
11 лет назад
11 лет назад