Ответы
Ответ дал:
0
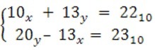
Расписываем систему через основания x и y
10(x) = x, 13(y) = y+3, 20(y) = 2y
получим систему уравнений
x+y+3 = 22
2y - x - 3 = 23
сложим первое и второе уравнения:
3y = 45 -> y = 15
подставляем в первое уравнение
x + 15 + 3 = 22 -> x = 4
исходная система уравнений будет:
10(4) + 13(15) = 22(10)
20(15) - 13(4) = 23(10)
10(x) = x, 13(y) = y+3, 20(y) = 2y
получим систему уравнений
x+y+3 = 22
2y - x - 3 = 23
сложим первое и второе уравнения:
3y = 45 -> y = 15
подставляем в первое уравнение
x + 15 + 3 = 22 -> x = 4
исходная система уравнений будет:
10(4) + 13(15) = 22(10)
20(15) - 13(4) = 23(10)
Вас заинтересует
2 года назад
2 года назад
7 лет назад
7 лет назад
10 лет назад
10 лет назад
10 лет назад