• Предмет: Алгебра
  • Автор: Kissaaaaaa
  • Вопрос задан 9 лет назад

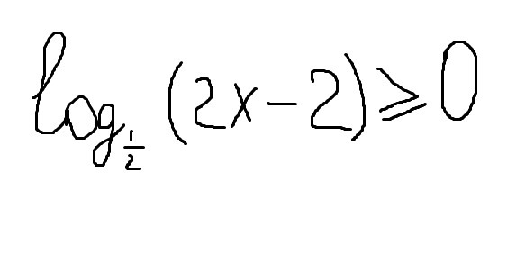
log1/2(2x-2) больше либо равно нулю geq

Приложения:

Ответы

Ответ дал: pentV
0
Решение на картинке внизу
Приложения:
Ответ дал: Kissaaaaaa
0
Спасибо!
Вас заинтересует