• Предмет: Алгебра
  • Автор: CEHia
  • Вопрос задан 9 лет назад

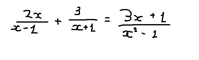
Решите Полностью Пожалуйста.

Приложения:

Ответы

Ответ дал: Аноним
0
Решение на фото.
-----------------------------
Приложения:
Вас заинтересует