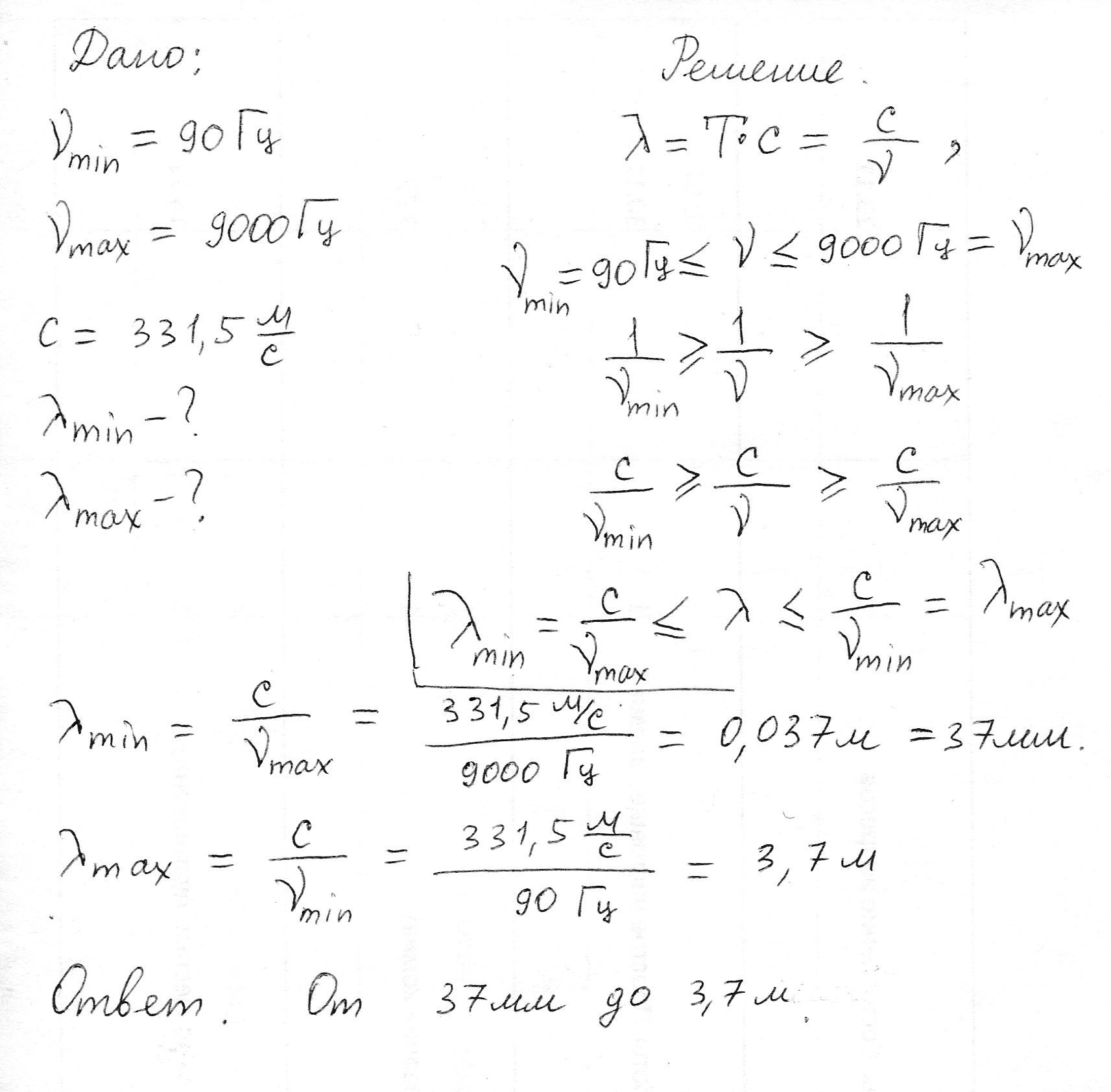
Частотный диапазон рояля от 90 до 9000 гц. Найдите диапазон длин звуковых волн в воздухе создаваемые роялем. (Дано.Решение. и с формулами пожалуйста
Ответы
Ответ дал:
0
Листок с решением прикрепил ниже...
Приложения:
Вас заинтересует
3 года назад
3 года назад
7 лет назад
10 лет назад
10 лет назад
10 лет назад
10 лет назад