• Предмет: Математика
  • Автор: ilyavo04
  • Вопрос задан 9 лет назад

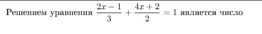
пожаалуйста помогите 40 баллов

Приложения:

Ответы

Ответ дал: эмма1131
0
чего ты врёшь про 40 балов а написано наверху 20 балов
Вас заинтересует