Ответы
Ответ дал:
0
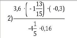
3,6·(-1 13/15)·(-0,3) 3,6·(28/15)·(0,3) (36·28·3)/(10·15·10)
--------------------------- = ------------------------- = ----------------------------------- =
-4 1/5 · 0,16 -21/5 · 0,16 -(21·16)/(5·100)
- 36·28·3·5·100 - 12·4·3·5·100 - 3·3 ·5
---------------------- = ------------------------- = ------------=-3
21·16·10·15·10 16·10·15·10 15
--------------------------- = ------------------------- = ----------------------------------- =
-4 1/5 · 0,16 -21/5 · 0,16 -(21·16)/(5·100)
- 36·28·3·5·100 - 12·4·3·5·100 - 3·3 ·5
---------------------- = ------------------------- = ------------=-3
21·16·10·15·10 16·10·15·10 15
Ответ дал:
0
Ой, спасибо тебе большое!
Вас заинтересует
7 лет назад
10 лет назад
10 лет назад
10 лет назад