Ответы
Ответ дал:
0
1)А(0;-5)
[1)A(0;6)
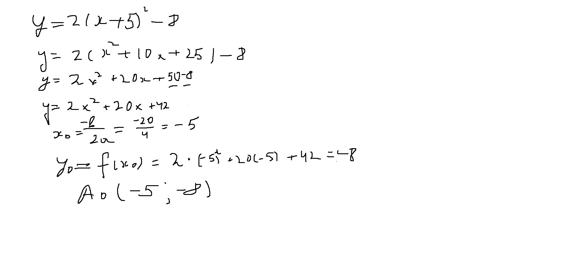
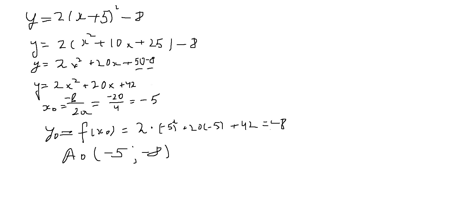
2)A(-5;-8)
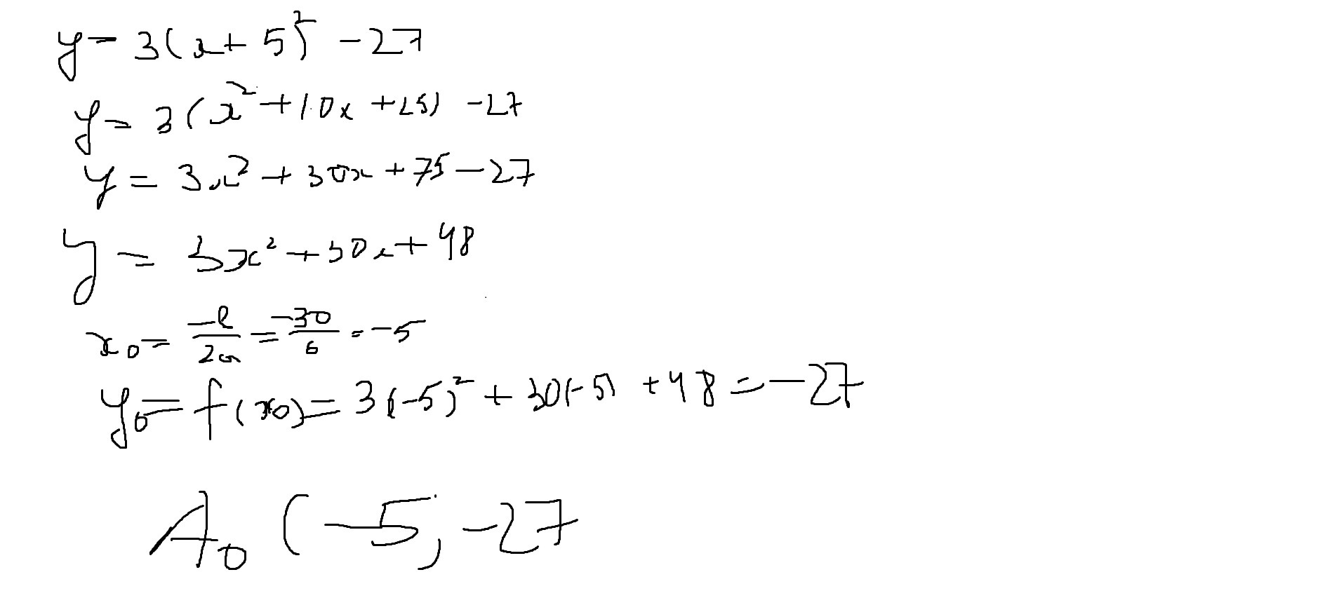
2)A(-5;-27)
И вобще! Есть удивительная формула x0=-b2a ; y0=f(x0).
[1)A(0;6)
2)A(-5;-8)
2)A(-5;-27)
И вобще! Есть удивительная формула x0=-b2a ; y0=f(x0).
Приложения:



Ответ дал:
0
Спасибо огромное!!!!
Вас заинтересует
2 года назад
7 лет назад
7 лет назад
9 лет назад
10 лет назад
10 лет назад