2) Для приготовления фруктового напитка берут 3 части яблочного сока и 4 части грушевого. Всего сделали 350г напитка. Сколько взяли грушевого сока? на пропорцию: 3) Для получения 15кг сплава потребуется 6кг олова. Сколько нужно взять олова для изготовления 20кг сплава? на проценты: 4) Поле площадью 120 га засеяно на 55%. Сколько гектаров засеяно? 5) Вчера продали 180кг овощей, а сегодня – на 20% меньше, чем вчера. Сколько килограммов овощей продали за эти два дня?
Ответы
Ответ дал:
0
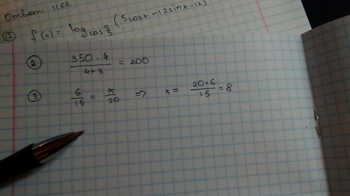
2)200
3)8
4)120*0,55=66
5)180*0,2=36
180-36=144
144+180=324
Решение 2 и 3 в прикрепленном файле
3)8
4)120*0,55=66
5)180*0,2=36
180-36=144
144+180=324
Решение 2 и 3 в прикрепленном файле
Приложения:

Ответ дал:
0
1) Расстояние между городами А и В равно 150 км. Расстояние между городами А и В на карте равно 3 см. Определите масштаб карты.
2) Река длиной 22целых 1/2км на карте изображена отрезком, равным 4см. Определите масштаб карты.
Задача на пропорцию
1) На пошив 9 рубашек ушло 18,9 м ткани. Сколько рубашек можно пошить из 44,1м ткани?
2) Река длиной 22целых 1/2км на карте изображена отрезком, равным 4см. Определите масштаб карты.
Задача на пропорцию
1) На пошив 9 рубашек ушло 18,9 м ткани. Сколько рубашек можно пошить из 44,1м ткани?
Ответ дал:
0
3+4=7 350:7=50.
4*50=200г грушового
(20:15)*6=8кг олова
120:100*55=1.2*55=66га
180:100*80=1,8*80=144кг
180+144=324кг
4*50=200г грушового
(20:15)*6=8кг олова
120:100*55=1.2*55=66га
180:100*80=1,8*80=144кг
180+144=324кг
Приложения:

Вас заинтересует
2 года назад
2 года назад
9 лет назад
9 лет назад
10 лет назад