• Предмет: Математика
  • Автор: arturlovelubov
  • Вопрос задан 9 лет назад

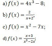
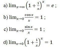
Помогите пожалуйста:)

Приложения:

Ответа на этот вопрос пока нет. Попробуйте найти его через форму поиска.

Вас заинтересует