Ответы
Ответ дал:
0
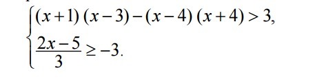
1)(x+1)(x-3)-(x-4)(x+4)>3
x²-3x+x-3-(x²-16)>3
x²-3x+x-3-x²+16>3
-2x+13>3
-2x>-10
x>5
2)2x-5/3≥-3
x-5≥-9
x≥-9+5
x≥-4
x²-3x+x-3-(x²-16)>3
x²-3x+x-3-x²+16>3
-2x+13>3
-2x>-10
x>5
2)2x-5/3≥-3
x-5≥-9
x≥-9+5
x≥-4
Вас заинтересует
3 года назад
3 года назад
7 лет назад
7 лет назад
10 лет назад
10 лет назад