• Предмет: Математика
  • Автор: Kiss532
  • Вопрос задан 9 лет назад

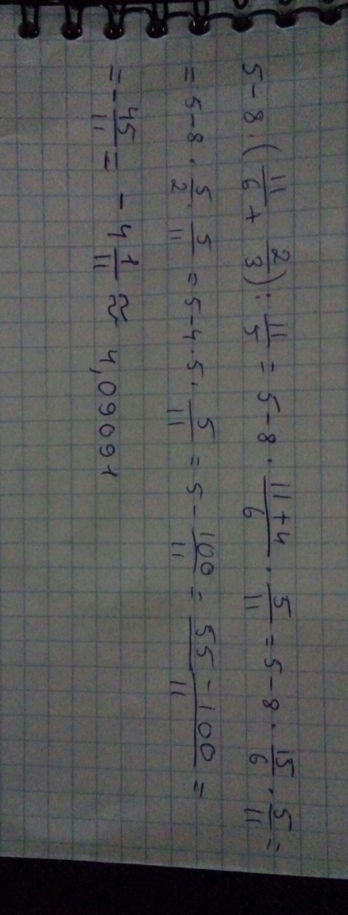
5-8·(1 1/6+2/3):1 1/5

Ответы

Ответ дал: wolf0303
0
вот рада помочь)...................
Приложения:
Вас заинтересует