• Предмет: Алгебра
  • Автор: KinderAlina
  • Вопрос задан 9 лет назад

Упростите выражение:
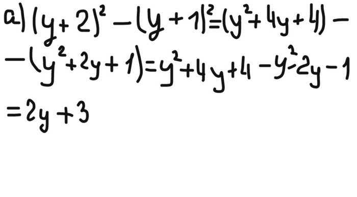
а) (y+2)^2-(y+1)^2
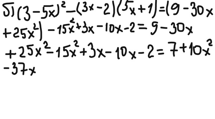
в) (3-5x)^2-(3x-2)(5x+1)

Ответы

Ответ дал: LoloшkaxD
0
Решение на фотографиях: 
Приложения:
Вас заинтересует