• Предмет: Алгебра
  • Автор: Kelli100500
  • Вопрос задан 9 лет назад

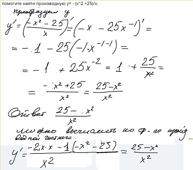
помогите найти производную у= - (х^2 +25)/х.

Ответы

Ответ дал: bzsr1
0
В чем такая крутая проблема не понимаю. На всякий случай показал два способа вычисления
Приложения:
Вас заинтересует