• Предмет: Математика
  • Автор: DenKRUGLIKOV
  • Вопрос задан 9 лет назад

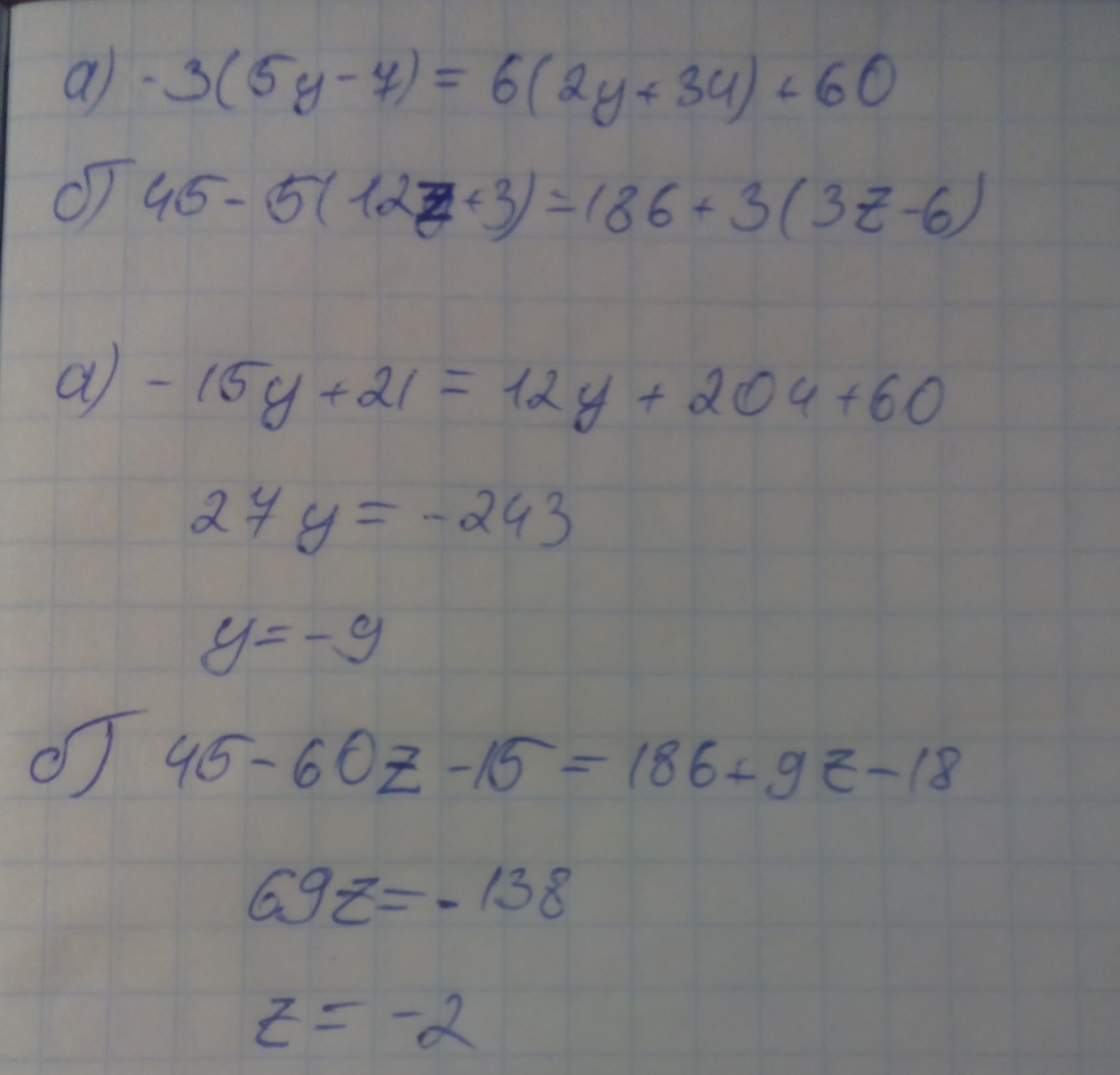
решите уравнение -3(5y-7)=6(2y+34)+60 и 45-5(12y+3)=186+3(3z-6)

Ответы

Ответ дал: Аноним
0
Вот решение..............
Приложения:
Вас заинтересует