• Предмет: Алгебра
  • Автор: Sally86
  • Вопрос задан 9 лет назад

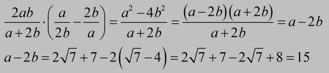
frac{2ab}{a+2b} * (frac{a}{2b} - frac{2b}{a} ) приa= 2sqrt{7} +7, b= sqrt{7} -4

Ответы

Ответ дал: vanoles
0
Ответ описан скрином ниже
Приложения:
Вас заинтересует