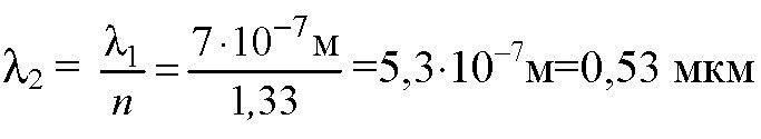
Вода освещается зеленым светом, длина волны которого в воздухе равна 0,5 мкм. Определите длину волны в воде.
Ответы
Ответ дал:
0
Вот, думаю , что это подойдет
Приложения:


Ответ дал:
0
всё так само только числа поменять???
Вас заинтересует
2 года назад
7 лет назад
9 лет назад
10 лет назад