• Предмет: Алгебра
  • Автор: school201
  • Вопрос задан 9 лет назад

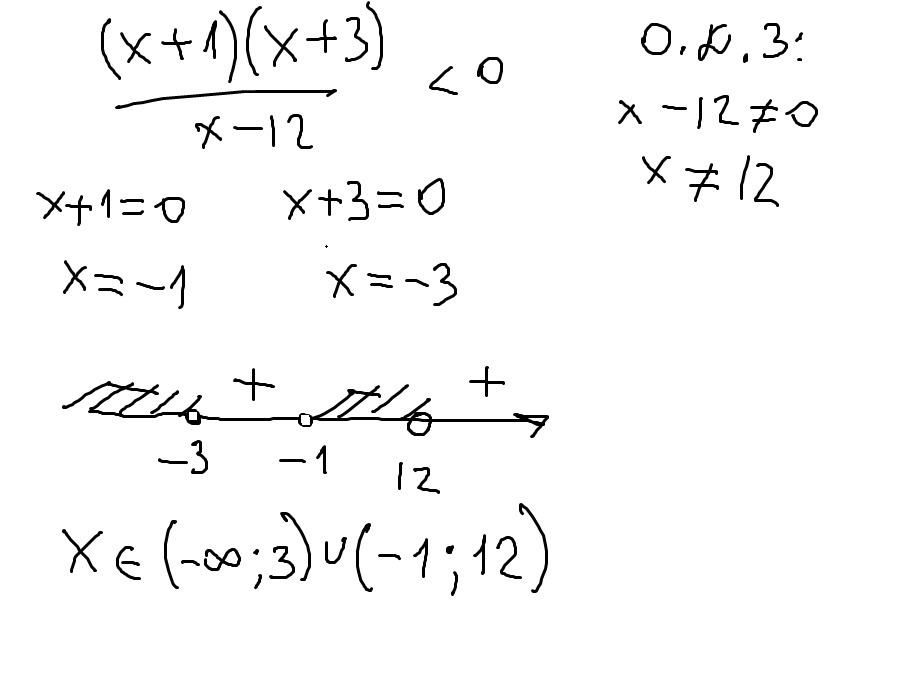
Помогите пожалуйста ! Решение методом Интервалов.
(х+1)(х+3)/х-12 <0

Ответы

Ответ дал: origame
0
................................
Приложения:
Вас заинтересует