Ответы
Ответ дал:
0
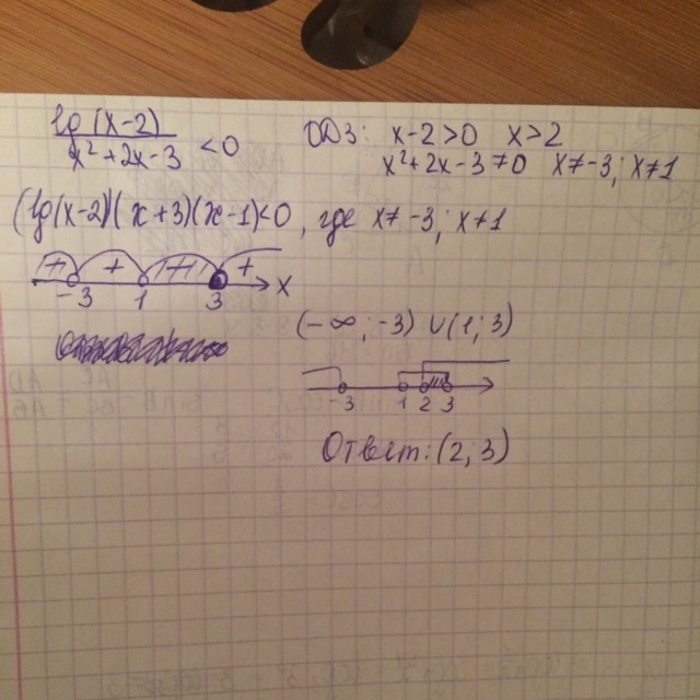
Решение на фотографии
Приложения:

Ответ дал:
0
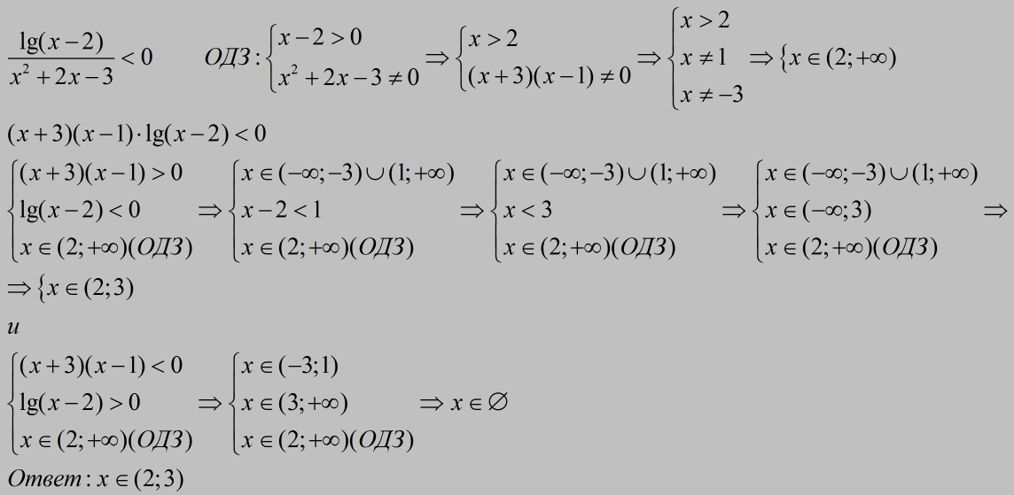
А я показал другой способ решения
Приложения:

Ответ дал:
0
хотя способ выше представленный действительно методом интервалов
Вас заинтересует
2 года назад
2 года назад
7 лет назад
7 лет назад
9 лет назад
10 лет назад