Ответы
Ответ дал:
0
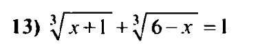
Возведём в куб
x+1+3a2b+3ab2+6-x=1
a2b+ab2=-2
ab(a+b)=-2
a+b=1, значит ab=-2
a=1-b
(1-b)b=-2
b2-b-2=0
b=-1, b=2
Соответсвенно а=2, а=-1
(2;-1) и (-1;2)
х+1=8 6-х=-1 => х=7
х+1=-1 6-х=8 => х=-2
x+1+3a2b+3ab2+6-x=1
a2b+ab2=-2
ab(a+b)=-2
a+b=1, значит ab=-2
a=1-b
(1-b)b=-2
b2-b-2=0
b=-1, b=2
Соответсвенно а=2, а=-1
(2;-1) и (-1;2)
х+1=8 6-х=-1 => х=7
х+1=-1 6-х=8 => х=-2
Вас заинтересует
2 года назад
2 года назад
7 лет назад
7 лет назад
10 лет назад
10 лет назад
10 лет назад