• Предмет: Физика
  • Автор: nikitaaz
  • Вопрос задан 11 лет назад

 

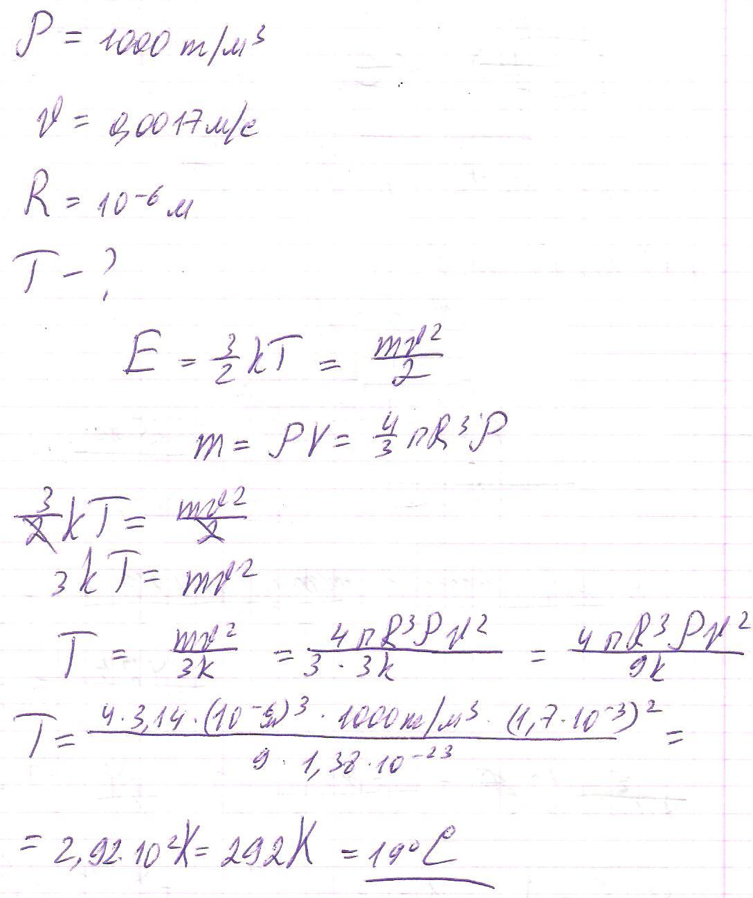
Капелька воды ( р=1.0  гсм^3), взвешенная в воздухе, движется со средней квадратичной  скоростью <vкв>= 1.7 ммс. Если радиус капельки r=1*10^-6 м, то температура t воздуха равна?

Ответы

Ответ дал: Artem112
0

надеюсь будет понятно....

Приложения:
Вас заинтересует