• Предмет: Физика
  • Автор: WeiZangh
  • Вопрос задан 9 лет назад

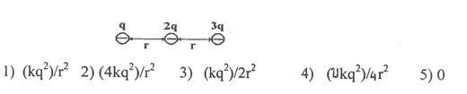
Найдите выражение силы действующей на заряд q

Приложения:

Ответы

Ответ дал: fatt52
0
4)    2kq²/r²+3k*q²/(4r²)=11kq²/4r²
=========================
Вас заинтересует