Ответы
Ответ дал:
0
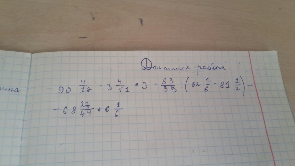
82 1/6-81 1/2=493/6 - 163/2=(493-489)/6=4/6=2/3
53/99 : 2/3=53/99 * 3/2=53/66
3 4/51*3=157/51 * 3=157/17
90 4/17-157/17=1534/17-157/17=1377/17=81
81-53/66=(5346-53)/66=5293/66
5293/66 - 68 27/44=5293/66-3019/44=(10586-9057)/132=1529/132
1529/132 + 6 1/6=1529/132 + 37/6=(1529+814)/132=2343/132=17 99/132=
=17 33/44=17 3/4
53/99 : 2/3=53/99 * 3/2=53/66
3 4/51*3=157/51 * 3=157/17
90 4/17-157/17=1534/17-157/17=1377/17=81
81-53/66=(5346-53)/66=5293/66
5293/66 - 68 27/44=5293/66-3019/44=(10586-9057)/132=1529/132
1529/132 + 6 1/6=1529/132 + 37/6=(1529+814)/132=2343/132=17 99/132=
=17 33/44=17 3/4
Ответ дал:
0
Спасибо большое)
Вас заинтересует
2 года назад
7 лет назад
7 лет назад
10 лет назад
10 лет назад
10 лет назад