Ответы
Ответ дал:
0
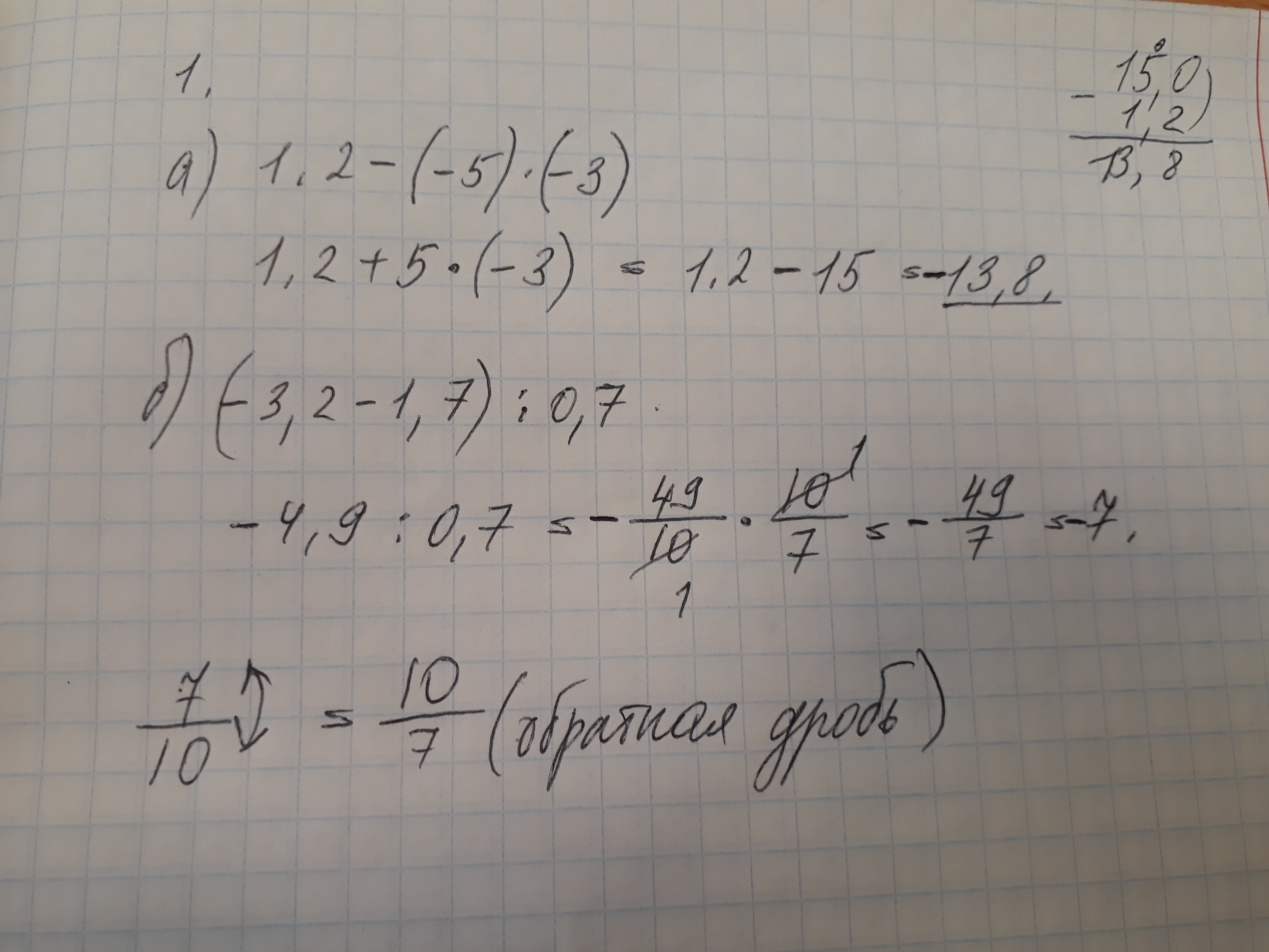
1. Раскрываем скобки.
По правилу, -(-а)=а; -(-5)=5
Дальше, первым выполняем умножение, затем сложение.
Минус на плюс дает минус, -3×5=15
Дальше, при вычитании чисел из большего числа вычитаем меньшее и полученную разность записываем со знаком большего числа. 15 >1.2, 15-1.2=13.8, в примере 15 со знаком минус, ответ:-13.8
Далее, сл.пример. выполняем действие в скобках. Выражение -3.2-1.7 можно представить в виде (-3.2)+(-1.7). При сложении чисел с одинаковым знаком складываем их значения и перед ответом ставим их общий знак.
Дальше видим деление на дробь. Разделить на дробь-значит умножить на обратную(перевернуть дробь)
Опять же, минус на плюс дает минус
Не спеши считать, сократи числитель и знаменатель на 10.
Дальше выходит 49/7=7 и не забываем про минус.
Надеюсь, все понятно)
По правилу, -(-а)=а; -(-5)=5
Дальше, первым выполняем умножение, затем сложение.
Минус на плюс дает минус, -3×5=15
Дальше, при вычитании чисел из большего числа вычитаем меньшее и полученную разность записываем со знаком большего числа. 15 >1.2, 15-1.2=13.8, в примере 15 со знаком минус, ответ:-13.8
Далее, сл.пример. выполняем действие в скобках. Выражение -3.2-1.7 можно представить в виде (-3.2)+(-1.7). При сложении чисел с одинаковым знаком складываем их значения и перед ответом ставим их общий знак.
Дальше видим деление на дробь. Разделить на дробь-значит умножить на обратную(перевернуть дробь)
Опять же, минус на плюс дает минус
Не спеши считать, сократи числитель и знаменатель на 10.
Дальше выходит 49/7=7 и не забываем про минус.
Надеюсь, все понятно)
Приложения:
Вас заинтересует
3 года назад
3 года назад
7 лет назад
7 лет назад
10 лет назад
10 лет назад