• Предмет: Алгебра
  • Автор: тавкен
  • Вопрос задан 9 лет назад

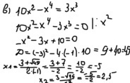
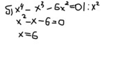
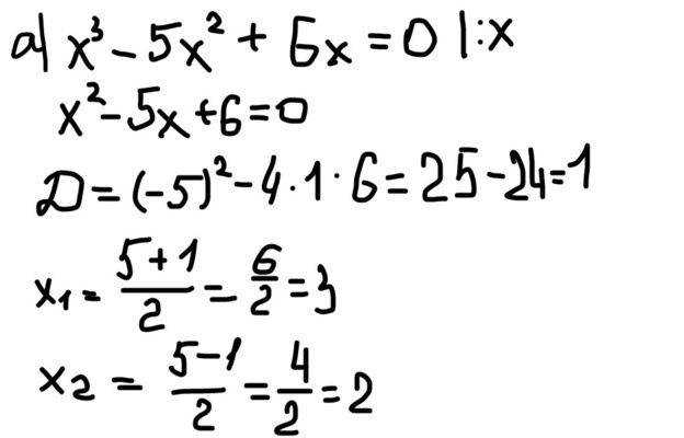
Решите уравнение:а)x^3-5x^2+6x=0 б)x^4-x^3-6x^2=0 в)10x^2-x^4=3x^3 г)x^3=2x^2-x^4

Ответы

Ответ дал: нптшрро
0

2013-06-10T22:26:39+04:00

1) x^2+3.5x-2=0

2x^2+7-4=0

D=49+32=81=9^2

X=-4;0.5

Ответ: -4; 0.5

2) x^2-6x+24-4x+1=0

x^2-10x+25=0

D=100-100=0

x=3

Ответ: 3

3) 2x^2-7x+9

D=49-72

Пустое множество

4) 7+2(x-4)                                         x+4

2x=1                                                    x=-4

x=0.5                          >                      x=-4

от - бесконечности до 0.5 и от 4 до плюс бесконечности все включительно

5) -0.4x+0.6                                      6x+1.5

x=-1.5                         <                      x=-0.25

от -1.5 до 0.25 все не включительно

6) -3x-6+2x-2                                    3x-9+2

-x=8                                                    3x=7

x=8                              >                    x=3.5

от - бесконечности до 3.5 и от 8 до плюс бесконечности все не включительно

д) x+1+2x+2+3x-3                            4x+3x-6

6x=0                                                    7x=6

x=0                               <                     x=6/7

от 0 до 6/7 все не включительно

г) x-1/3+7x-7                                      4x+2

-6x=22/3                                              x=-0.5

6x=-22/3                     <                        x=-0.5

от (-22/3)/6 до -0.5 все включительно

Ответ дал: LoloшkaxD
0
Решение во вложениях: 
Приложения:
Вас заинтересует