• Предмет: Математика
  • Автор: danilova2202
  • Вопрос задан 9 лет назад

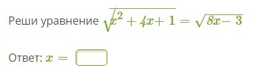
Решите, пожалуйста, уравнение

Приложения:

Ответа на этот вопрос пока нет. Попробуйте найти его через форму поиска.

Вас заинтересует