• Предмет: Алгебра
  • Автор: Ksuscha007
  • Вопрос задан 9 лет назад

помогите пж
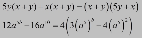
1. разложите на множители 12а^5b-16a^10; 5y(x+y)+x(x+y)

Ответы

Ответ дал: vanoles
0
Возможно в условии первого примера ошибка...?

Приложения:
Вас заинтересует