• Предмет: Математика
  • Автор: Луняя
  • Вопрос задан 9 лет назад

решите за 6 баллов
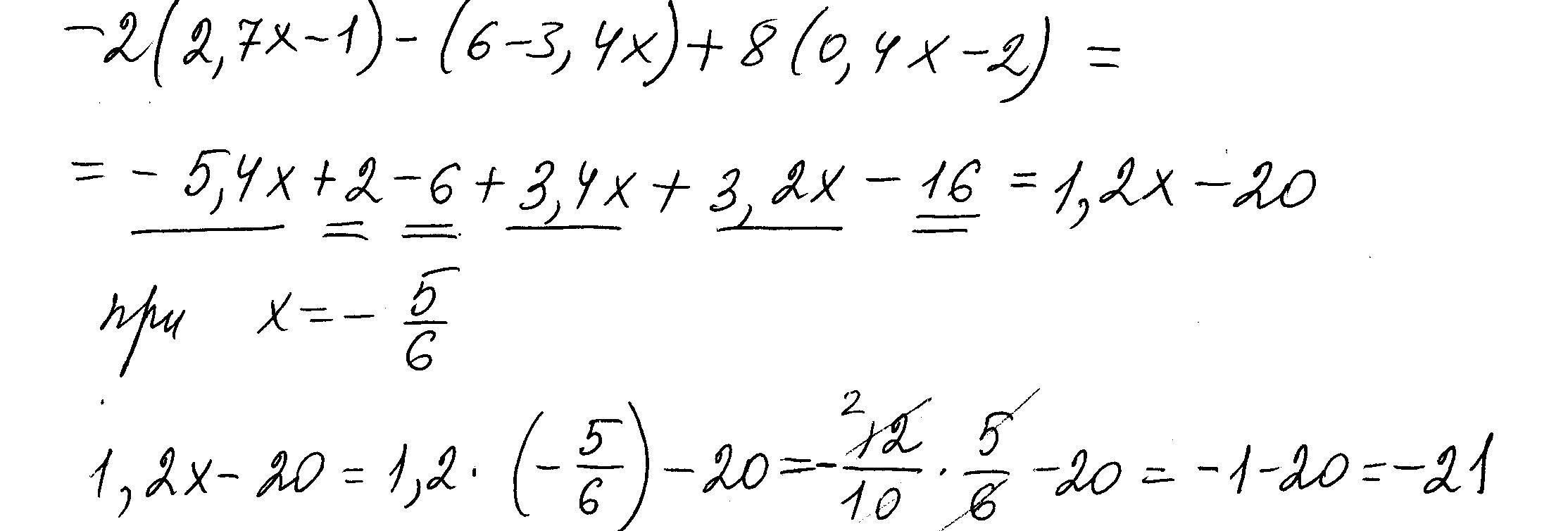
-2(2,7х-1)-(6-3,4х)+8(0,4х-2) при х = - 5/6

Ответы

Ответ дал: samodina
0
решение во вложенном файле
Приложения:
Вас заинтересует