Ответы
Ответ дал:
0
просто так сделала проверку,
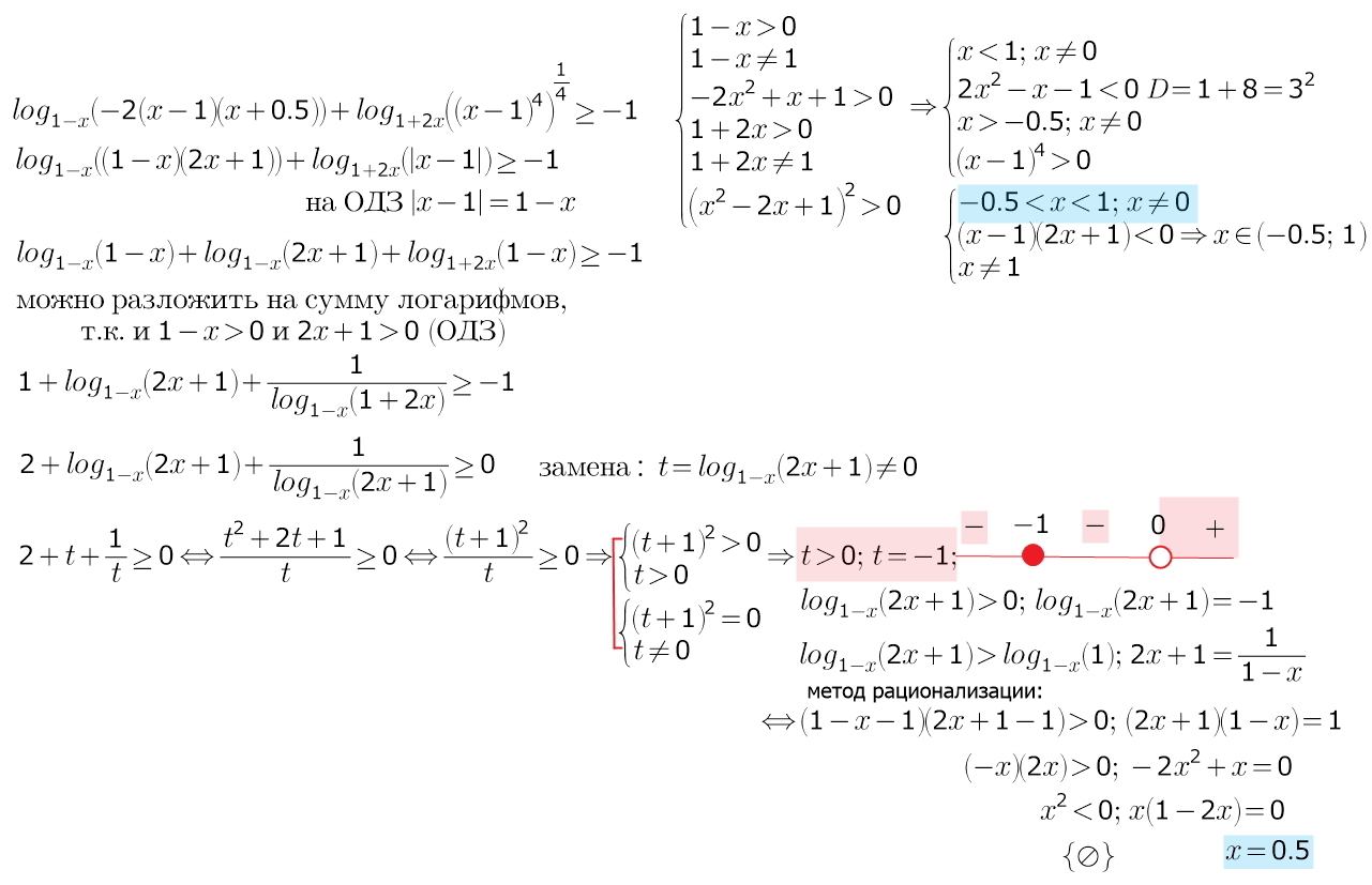
если взять значения из ОДЗ (кроме х=0.5),
то легко убедиться, что они все не являются решениями...
если взять значения из ОДЗ (кроме х=0.5),
то легко убедиться, что они все не являются решениями...
Приложения:


Вас заинтересует
2 года назад
7 лет назад
7 лет назад
9 лет назад
9 лет назад
10 лет назад
10 лет назад