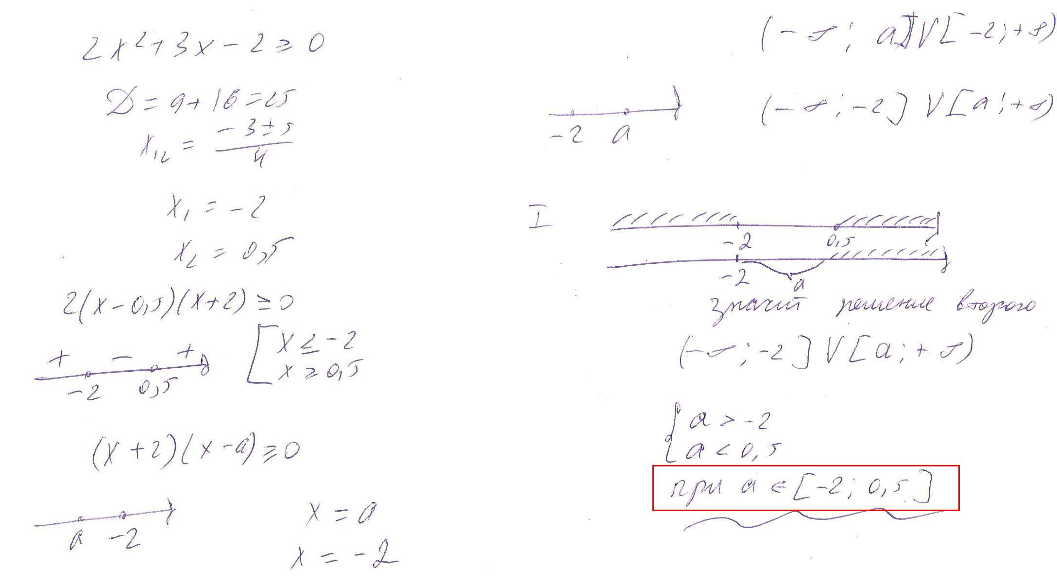
при каких значениях параметра неравенства 2x^2+3x-2>=0 содержится среди решений неравенства (х+2)(х-а)>=0
Ответы
Ответ дал:
0
надеюсь будет понятно...........
Приложения:

Вас заинтересует
2 года назад
2 года назад
8 лет назад
10 лет назад
10 лет назад