• Предмет: Математика
  • Автор: polinax2017x06
  • Вопрос задан 9 лет назад

35 БАЛЛОВ ДАЮ! СРОЧНОООО!

Там вопрос жизни и смерти хд.
За четвертную могут спросить уравнения, а в них я нифига не шарю (в нормальных то да, а в непонятных)

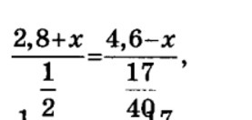
НАЙТИ НЕИЗВЕСТНЫЙ ЧЛЕН ПРОПОРЦИИ (НИЖЕ)

Приложения:

Ответы

Ответ дал: Swift311
0
Разложим левую часть на две дроби, правую часть преобразуем:
7/(4x)+1=(16/5)*(5/2)
7/(4x)=8-1
4x=1
x=1/4
Вас заинтересует