• Предмет: Алгебра
  • Автор: tdutif2014
  • Вопрос задан 9 лет назад

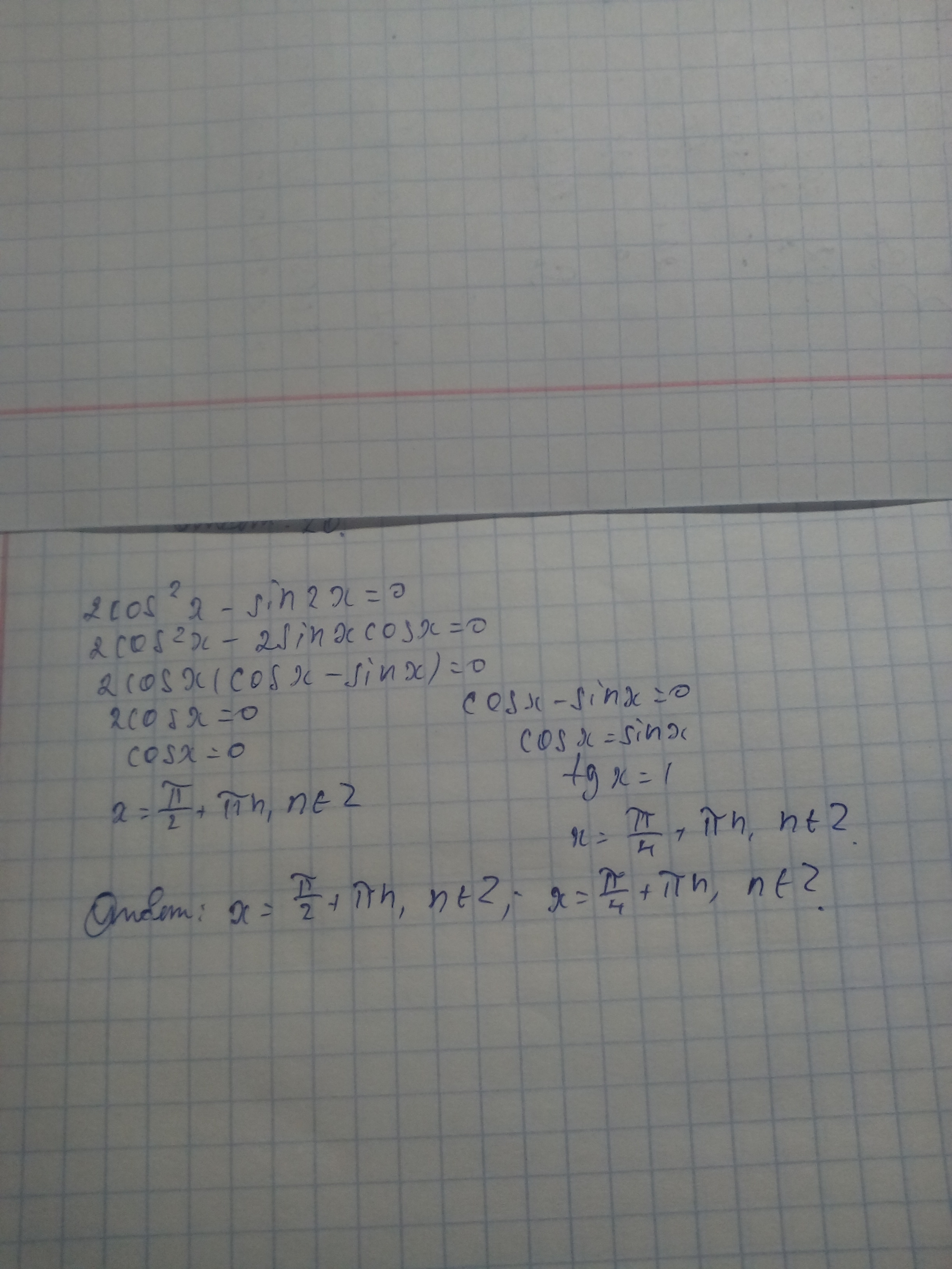
Помогите решить уравнение, пожалуйста. 2cos^2x-sin2x=0

Ответы

Ответ дал: Dимасuk
0
Решение..................
Приложения:
Вас заинтересует