Ответы
Ответ дал:
0
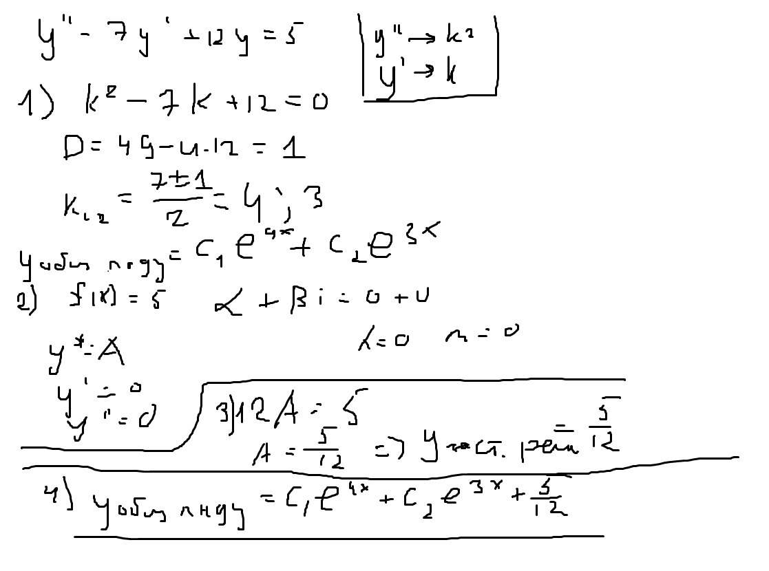
y(общ.лнду)=y(общ.лоду) + y(част.решение)
Приложения:

Вас заинтересует
2 года назад
7 лет назад
9 лет назад
10 лет назад