• Предмет: Математика
  • Автор: Алёна48745
  • Вопрос задан 9 лет назад

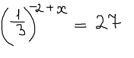
Решите уравнение
суть понимаю, у всех разные ответы

Приложения:

Ответа на этот вопрос пока нет. Попробуйте найти его через форму поиска.

Вас заинтересует