• Предмет: Алгебра
  • Автор: Аноним
  • Вопрос задан 9 лет назад

В) найдите значение выражения.

Приложения:

Ответы

Ответ дал: Хуqожнuк
0
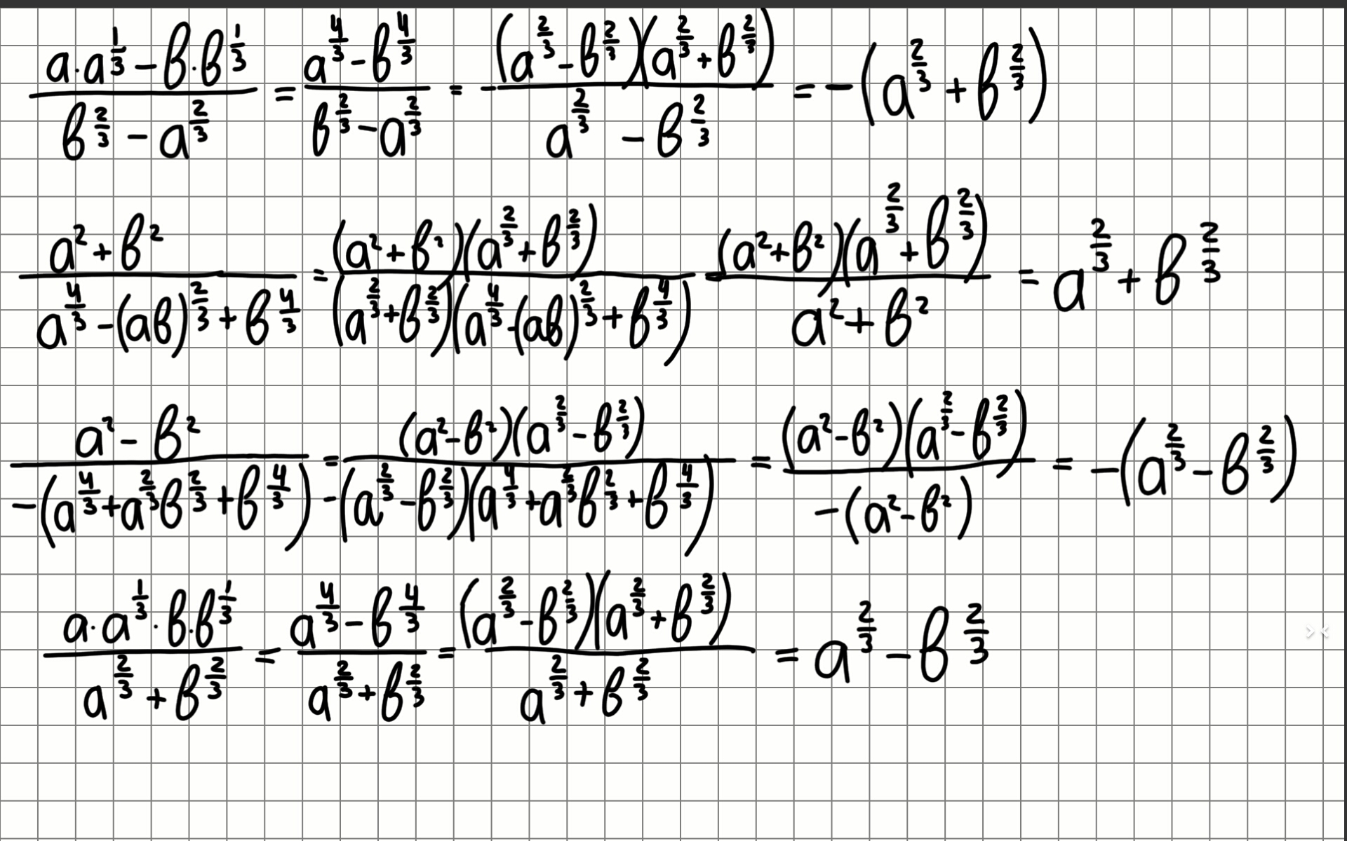
Решение во вложении.
Приложения:
Вас заинтересует