• Предмет: Алгебра
  • Автор: mrdart3
  • Вопрос задан 9 лет назад

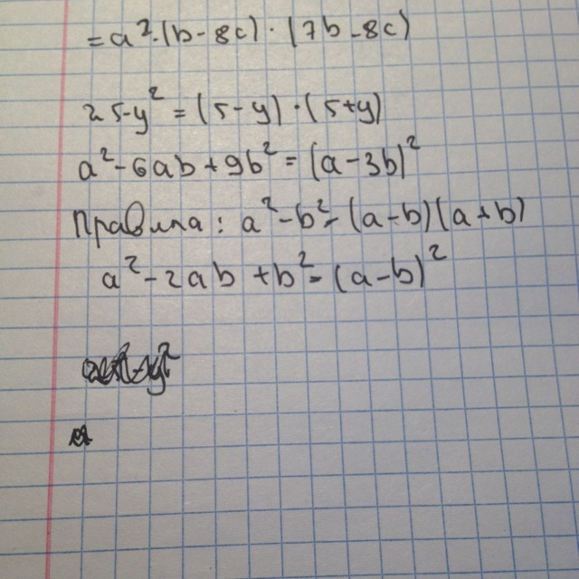
a) 25-y^2; б) a^2-6ab+9b^2

Ответы

Ответ дал: 14ОтЛиЧнИк88
0
a) 25-y^2= (5-y)(5+y)
б) a^2-6ab+9b^2= (a-3b)(a-3b)
Ответ дал: Kixcertborn2
0
Задание решено......
Приложения:
Вас заинтересует