• Предмет: Алгебра
  • Автор: reistfnk
  • Вопрос задан 9 лет назад

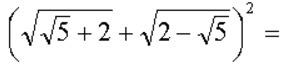
(√(√5 + 2) + √(2 - √5))²

Приложения:

Ответа на этот вопрос пока нет. Попробуйте найти его через форму поиска.

Вас заинтересует