• Предмет: Алгебра
  • Автор: reistfnk
  • Вопрос задан 9 лет назад

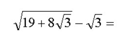
√(19 + 8√3) - √3 =..

Приложения:

Ответа на этот вопрос пока нет. Попробуйте найти его через форму поиска.

Вас заинтересует