• Предмет: Алгебра
  • Автор: MeaTKnife
  • Вопрос задан 9 лет назад

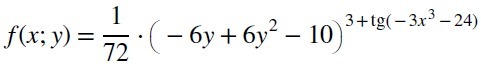
Помогите найти сложную производную,очень нужно,заранее огромное спасибо

Приложения:

Ответа на этот вопрос пока нет. Попробуйте найти его через форму поиска.

Вас заинтересует