Решите уравнение при всех допустимых значениях параметра:
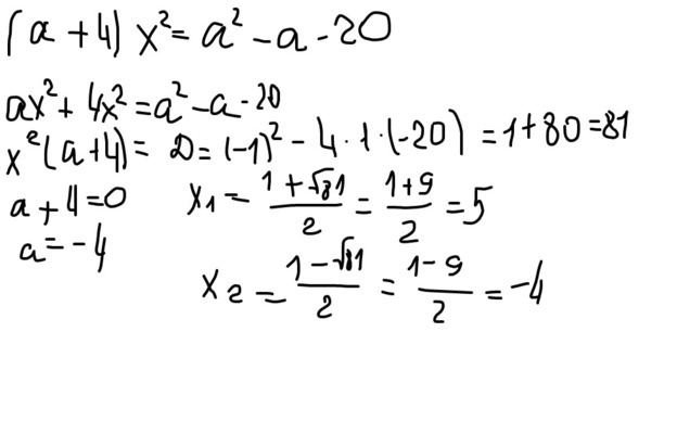
а) (а+4)х²=а²-а-20
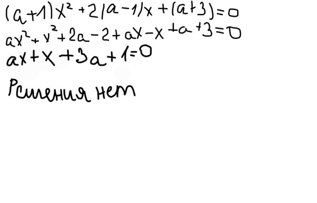
б) (а+1)х²+2(а-1)х+(а+3)=0
Ответы
Ответ дал:
0
Решение во вложениях:
Приложения:
Вас заинтересует
2 года назад
2 года назад
7 лет назад
7 лет назад
10 лет назад
10 лет назад
10 лет назад