Задание:Найдите корни уравнения.
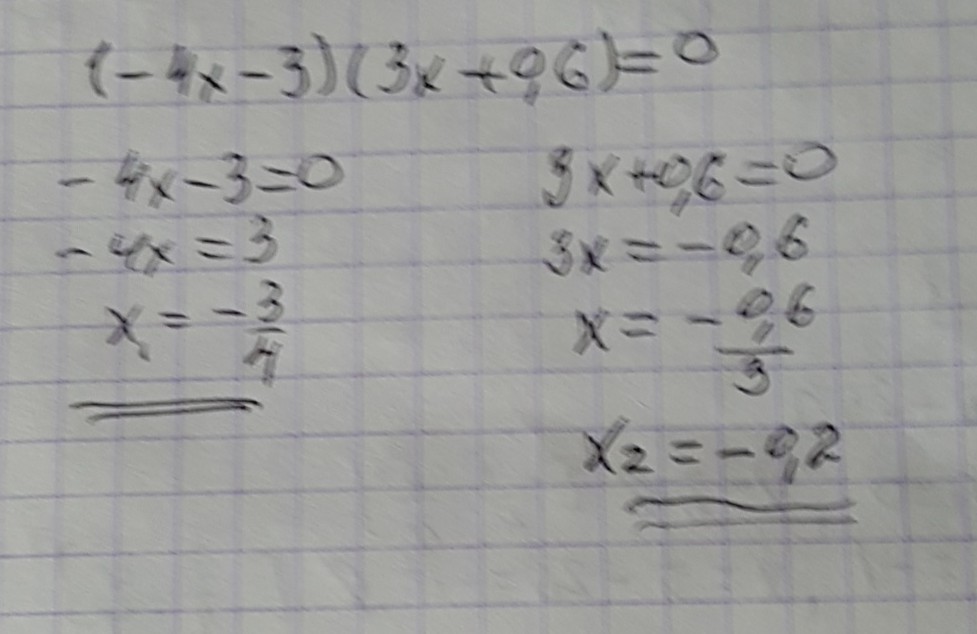
(-4х-3)(3х+0.6)=0
Источник:А.С.Чесноков дедактические материалы по математике 6 класс,стр.147,к-11,вариант 2,задание 5
Ответы
Ответ дал:
0
решение задания смотри на фотографии
Приложения:
Вас заинтересует
2 года назад
2 года назад
7 лет назад
7 лет назад
10 лет назад
10 лет назад
10 лет назад