• Предмет: Геометрия
  • Автор: miroslavaameri
  • Вопрос задан 9 лет назад

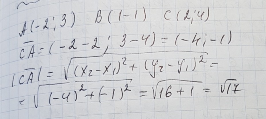
А( -2, 3), В (1,-1), С (2,4)
Найти модуль СА

Ответы

Ответ дал: подкожного
0
решение задания смотри на фотографии
Приложения:
Вас заинтересует