• Предмет: Алгебра
  • Автор: cajka
  • Вопрос задан 9 лет назад

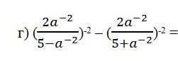
Помогите упростить выражение, пожалуйста.

Приложения:

Ответа на этот вопрос пока нет. Попробуйте найти его через форму поиска.

Вас заинтересует